近日,湖北大学yl23455永利官网梅涛教授与宁波东方理工大学(暂名)孙学良院士、谷猛教授,有研(广东)新材料技术研究院梁剑文研究员以共同通讯作者身份在国际顶级期刊《Angewandte Chemie International Edition》上发表了题为《The Universal Super Cation-Conductivity in Multiplecation Mixed Chloride Solid-State Electrolytes》的研究成果,东方理工副教授李晓娜、湖北大学硕士研究生徐洋与有研(广东)新材料技术研究院赵昌泰研究员为论文共同第一作者。

全固态锂二次电池(ASSLBs)因其高安全性、高能量密度和在较宽的温度范围内的应用而具有吸引力,而固态电解质(SSEs)作为ASSLBs的重要组成部分,引起了人们对无机SSEs领域极大的兴趣。近些年来,金属卤化物电解质LiaMXb(M=Y, Sc, In, Zr, etc., X = Cl, Br)凭借其超过10-3S/cm的室温离子电导率,宽的电化学窗口及与金属氧化物正极优异的界面稳定性得到了更广泛的研究。大多数目前报道的超离子卤化物SSEs主要是基于紧密排列的阴离子亚晶格,形成单斜晶(Li3InCl6,Li3ScCl6),正交晶(Li2.5Y0.5Zr0.5Cl6,Li2.73Ho1.09Cl6)和三方(Li3ErCl6,milled-Li2ZrCl6)结构。然而,这些已经报道的卤化物SSEs只是含有一价阳离子的三元卤化物的一小部分(Li+,Na+等)。在众多的三元卤化物晶体结构中,UCl3型结构具有丰富的通道位点,可以容纳单价阳离子和提供迁移路径得到了广泛的研究。


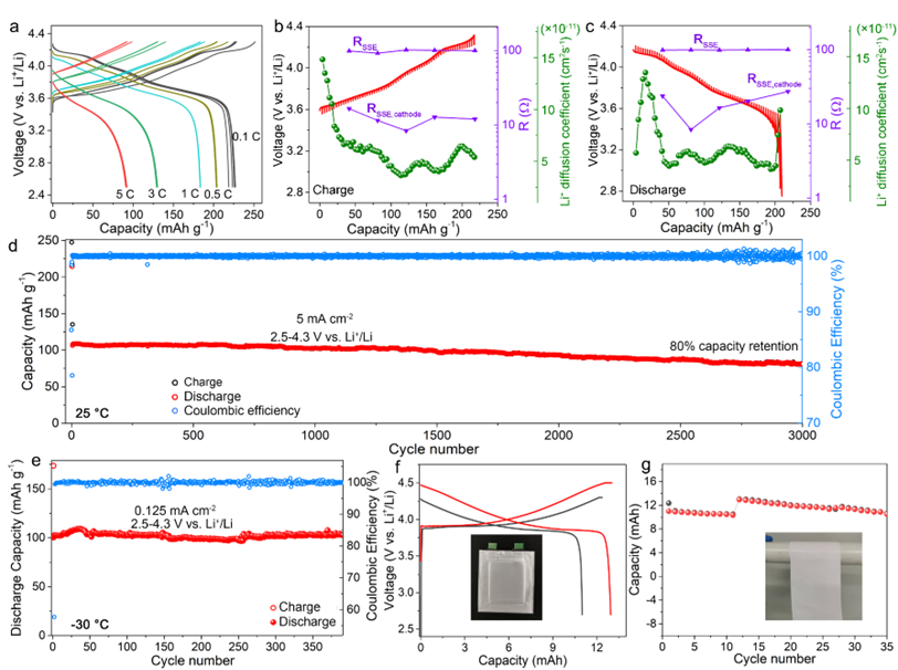
作者团队以UCl3型结构为主体,合成了具有高离子电导率的新型多阳离子混合氯化物SSEs,研究了不同金属种类的不同组成对离子传输性能的影响。 利用丰富的Al、La、Ce和Zr以低成本制备多种具有成本效益的超过10-3S/cm的高锂离子电导率多阳离子混合氯化物SSEs。这些多阳离子混合氯化物SSE还与氧化物正极材料具有良好的相容性和宽电化学窗口,使ASSLB能够在室温(3000次循环)和-30°C(390次循环)下稳定循环。 我们的工作强调,在阳离子位点内产生更多的构型无序是促进Li+快速迁移的重要策略。更重要的是,阳离子无序效应导致普遍的单价传输(Li+、Na+、Cu+等),负载Cu+和Ag+的材料各自表现出7.13×10-3和7.75×10-3S/cm的高离子电导率。多阳离子混合氯化物SSEs的突破归因于通过独特通道结构的快速单价传输和非晶态组分。我们的研究进一步丰富了UCl3型SSE家族,并期望我们的研究将有助于确定高性能电池SSE的新方向。
梅涛教授近年来在二次电池材料的可控性制备、性能改进及应用方面做了许多系统的研究工作。以第一作者/通讯作者在Angew. Chem. Int. Ed.,ACS nano, Nano Energy, J. Mater. Chem. A等权威期刊上发表SCI论文60余篇,总引用2800余次,H因子29,其中ESI高被引论文2篇。授权及申请发明专利17项。主持国家自然科学基金项目2项,湖北省重点研发计划1项,省杰青项目1项,省教育厅重点项目1项,省科技厅青年项目1项。参与国家重点研发计划子课题1项,国家自然科学基金项目2项。获湖北省自然科学二等奖1项。指导优秀本科生周诗远、刘佳鹏、胡宇昕、罗官宇等发表高水平SCI论文近20篇,获创新创业省级以上奖励近10项,指导创新创业训练计划项目国家级4项,省级4项。
论文链接:https://onlinelibrary.wiley.com/doi/10.1002/anie.202306433
(审稿:宋韧)